Webinar today...
Friends,
Reminder, today’s webinar is at 4pm EST. Details to join are below…
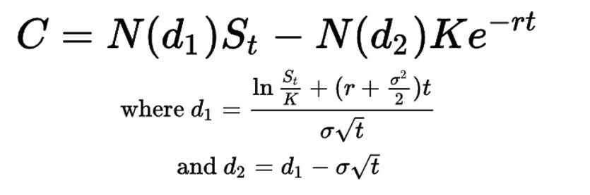
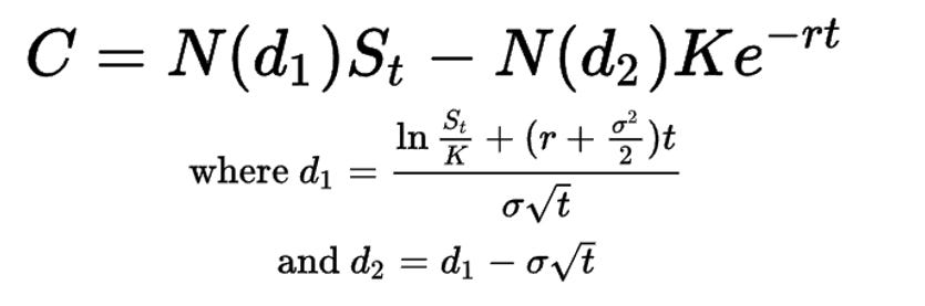
It’s a nerdy topic — Understanding the Black-Scholes Equation, but…given that I’m not a quant I’m gonna take a crack at explaining it the way I would have wanted it explained to me.
We’ll also talk about the broken assumptions and what they mean in practice as well as why we even bother with this equation.
Finally, we’ll cover aspects of derivative pricing that trading nerds incorrectly smuggle into their understanding of investing in general.
We will situate this Black-Scholes thing into the greater context of arbitrage and pricing.
My sales pitch — just like you want to learn to lift from a hardgainer and not a genetic freak, you get to learn this from someone to whom this didn’t come easily.
We’ll do Q&A after.




